开学安全第一课——我校开展消防安全演练活动
为进一步加强校园安全工作,切实提高广大师生的消防安全意识,增强学生的防火自救能力,确保火灾事故发生后应急处置工作迅速、高效、有序进行, 2月14日下午我校组织开展消防安全演练活动。活动现场,工作人员给大家介绍了消防装备以及使用方法,不仅强调了遇到火灾时的
为进一步加强校园安全工作,切实提高广大师生的消防安全意识,增强学生的防火自救能力,确保火灾事故发生后应急处置工作迅速、高效、有序进行, 2月14日下午我校组织开展消防安全演练活动。活动现场,工作人员给大家介绍了消防装备以及使用方法,不仅强调了遇到火灾时的
为提高校园安保人员的责任意识和工作水平,切实加强校园的安全管理工作,确保学校各项工作安全有序开展,保障全校师生人身安全,维护校园稳定。2023年2月14日,后勤服务处组织召开了2023年春学期校园安保培训工作会议。李志斌副校长、后勤服务处陈亮处长、金坛区保安服
为了响应教育局号召,宣传校园精神文化,提升班级文化建设水平,天行网页版登录入口本科部开展以“奋斗正当时,迎接新学期”为主题的新学期系列活动并评选出优秀作品。本科部开展“新学期,新气象”主题板报评选出了优秀班级。学生们在绘制过程
为大力弘扬劳模精神、劳动精神、工匠精神,充分发挥劳模工匠的榜样示范作用,2月9日下午,我校组织师生观看2023年常州市“劳模工匠进校园思政教师进企业”启动仪式暨首场劳模宣讲活动,活动邀请了国防科技工业系统劳动模范,中国航天科工集团八五一研究所首席
新学期,新气象——我校本科部举办主题黑板报比赛辞旧迎新,春暖花开。江苏省金坛中等学校本科部新学期也开始了,新学期新气象,为了激发学生学习热情和理想信念,本科部举办了“新学期,新气象”主题黑板报比赛,各个班学生通力合作共同完成新学期
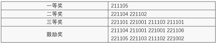
为提高学生的综合素质,丰富学生的寒假生活,天行网页版登录入口本科部开展了学生寒假劳动实践活动。学生们在日常家庭劳动中锻炼了满足生存发展需要的基本能力,形成了良好的劳动习惯,学会尊重他人的劳动成果,学生得以全面发展。以下是本次活动获奖名单:在本次活
为进一步推进我校“三信”主题教育实践活动,加强班主任队伍建设,全面提高班主任队伍的师德修养和专业水平,明确工作任务和职责,确保2023年春学期学生报到及后续教育教学工作的顺利展开。2月3日下午,我校在报告厅召开以“践行华老精神 潜心铸魂育人&r
三尺讲台坚守初心育桃李,耕耘不辍;一支粉笔奉献韶华写春秋,感恩有您!为感谢老教师数十年如一日的默默坚守和无私奉献,表达学校的敬意与感谢,提升教师职业的荣誉感和归属感,营造尊师重教的氛围,激励在岗教师立足三尺讲台的教育情怀。1月18日上午,金坛中专为2022
春节将至,岁寒情深。春节前夕,民盟金坛开放大学支部对宁陕籍留坛学生进行慰问,在寒冬中送去春节的祝福和民盟的深切关爱。大家慰问了支部盟员曹雨平老师班的陕西省宁陕籍困难学生蒲明堃。蒲明堃同学是今年寒假留坛过年的唯一一名宁陕籍学生,他家庭比较困难,为体谅父
瑞雪纳福,情暖新春。值此中华民族传统节日新春佳节到来之际,为表达对退休教师的关怀,1月15日上午,学校党总支潘凌燕书记和周建亮、李建中等校领导带领学校工会张贵夕、邹金梅两位副主席冒着大雪走访慰问了9位高龄或生活困难的退休教职工,并带去了学校精心准备的慰问
又是一年新春到,最是情暖岁寒时!1月15日,民盟金坛开放大学支部主委李志斌、支委袁勤、王春新及盟员代表谌勇一行代表支部走访慰问退休盟员、老主委于跃进,向他致以新春的问候和祝福。支部代表围绕在老主委于跃进身边,详细了解他的身体状况和生活情况,细心叮嘱他要